清华新闻网4月25日电 近日,beat365中文官方网站交叉信息研究院段路明研究组在离子阱量子模拟领域取得重要进展,首次在实验中借助离子量子比特实现了拉比-哈伯德(Rabi-Hubbard)模型,并验证了该模型的量子相变以及量子动力学过程。通过对16个离子和16个简谐振动模式的操控,该量子模拟问题的有效空间维度达到了257,超越了现有经典超级计算机的模拟能力。

拉比-哈伯德模型的序参量演化和量子相变
拉比-哈伯德模型由量子光学和凝聚态物理中的两个基本模型结合而成,拉比模型历史悠久,可以追溯到1936年,它描述了光场与物质的相互作用。哈伯德模型起源于1963年,是描述晶格中粒子相互作用的最基本的模型,现已发展成为凝聚态物理学中许多领域的出发点。拉比-哈伯德模型包含了局域的拉比模型自旋-声子相互作用以及格点之间的声子-声子相互作用,两者的结合使得该模型表现出丰富的物理特性。该模型的实验方案最初在腔量子电动力学系统中提出,但是由于技术困难一直没有在实验上实现。
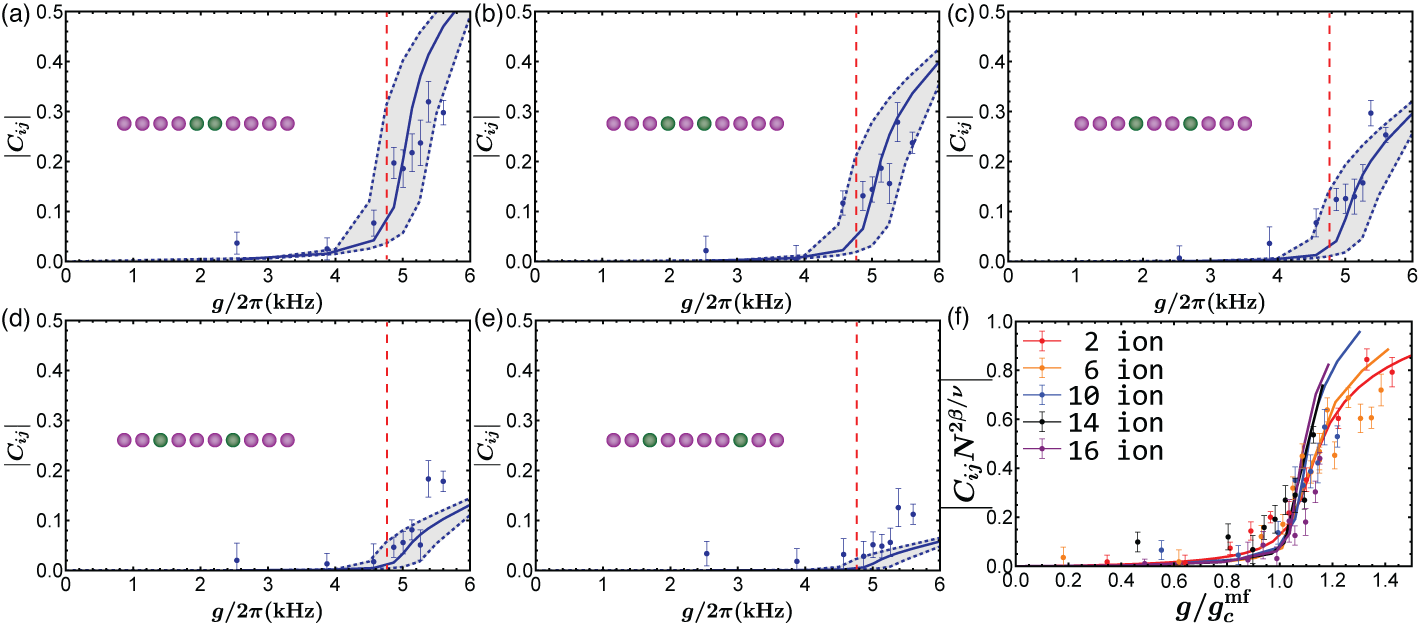
得益于离子阱量子模拟平台的高度可控性,研究人员实现了对拉比-哈伯德模型的可控量子模拟研究。研究人员通过对激光的精密操控实现了离子量子比特与局域声子的相互作用,而离子阱系统中的库伦相互作用形成了不同离子间的局域声子交换项。在这项工作中,研究人员通过量子相变和量子动力学两个方面验证了拉比-哈伯德模型的成功实现。在量子相变方面,研究人员通过绝热演化实现了相干相和非相干相之间的转化,在此过程中通过测量空间自旋关联这一序参量,成功在不同规模的离子阵列中观测到量子相变现象,且与DMRG方法近似计算的结果相符。
在量子动力学方面,拉比-哈伯德模型包含了离子的自旋模式和空间振动模式的相互耦合,这显著增加了该系统有效的希尔伯特空间维度,使得经典模拟难度增加。研究人员在小规模体系(2离子、4离子)下观测到了符合经典模拟预期的量子动力学演化,与量子相变一同证明了本实验中拉比-哈伯德模型的成功实现。而在大规模体系(16离子)和强耦合参数区间,常用的经典近似方法将不再适用,实验系统的有效态空间维度高达257,相关的动力学过程已经难以通过经典计算机模拟计算。该实验展示了基于离子阱平台的量子多体模拟,将空间振动自由度引入量子模拟中,实现了经典计算机难以计算的问题规模,是通向未来大规模离子阱量子计算、量子模拟的重要一步。

拉比-哈伯德模型的自旋动力学演化
该成果论文“拉比-哈伯德模型在离子阱系统的实验实现”(Experimental Realization of the Rabi-Hubbard Model with Trapped Ions)于近日发表于国际学术期刊《物理评论快报》(Physical Review Letters)。
该论文的共同第一作者为beat365中文官方网站交叉信息研究院2017级博士生梅全鑫、2018级博士生李博文和助理教授吴宇恺,通讯作者为段路明教授。其他作者包括交叉信息研究院2019级博士生王也、副研究员周子超、以及华翊量子公司的研究员蔡明磊、姚麟。该项目得到了beat365中文官方网站自主科研计划、北京量子信息科学研究院、国家重点研发计划、教育部量子信息前沿科学中心、beat365中文官方网站水木学者项目、博士后国际交流计划引进项目、beat365中文官方网站科研启动基金的资助与支持。
论文链接:
https://link.aps.org/doi/10.1103/PhysRevLett.128.160504
供稿:交叉信息研究院
题图设计:刘雨田
编辑:李华山
审核:田姬熔