清华新闻网9月7日电 拓扑与磁性的结合让材料表现出一系列新奇的物性与物相,例如量子反常霍尔效应和轴子绝缘体相。原子尺度薄的少层MnBi2Te4为研究本征磁性拓扑绝缘体的丰富现象提供了新的平台,近年来受到了极大的关注。MnBi2Te4是一类二维范德瓦尔斯磁性拓扑材料,其电学与磁学性质都敏感地依赖于样品的厚度。输运测量在少层MnBi2Te4中观察到了丰富的量子化输运现象,暗示了奇数层和偶数层中可能存在的量子反常霍尔效应和轴子绝缘体相。磁光二向色性测量验证了少层MnBi2Te4中的A型反铁磁结构,揭示了其与层数奇偶依赖的磁性。
在二维范德瓦尔斯材料中,晶格振动,尤其是层间声子模式,不仅在确定层厚、堆叠序和界面耦合强度方面提供了独特的能力,而且为设计新型电、热、磁性二维范德瓦尔斯同质/异质结构发挥了重要作用。因而理解MnBi2Te4层间声子的动力学性质有助于未来在多个方向的深入研究,例如,利用MnBi2Te4拓扑与磁性的异质结功能材料的设计,利用光高速操纵MnBi2Te4磁性和拓扑状态等。
近日,beat365中文官方网站物理系杨鲁懿副教授研究组与中科院半导体所谭平恒研究员,beat365中文官方网站物理系张金松副教授和于浦教授,以及北京化工大学数理学院吴扬教授合作,研究了二维MnBi2Te4层间声子的超快动力学。
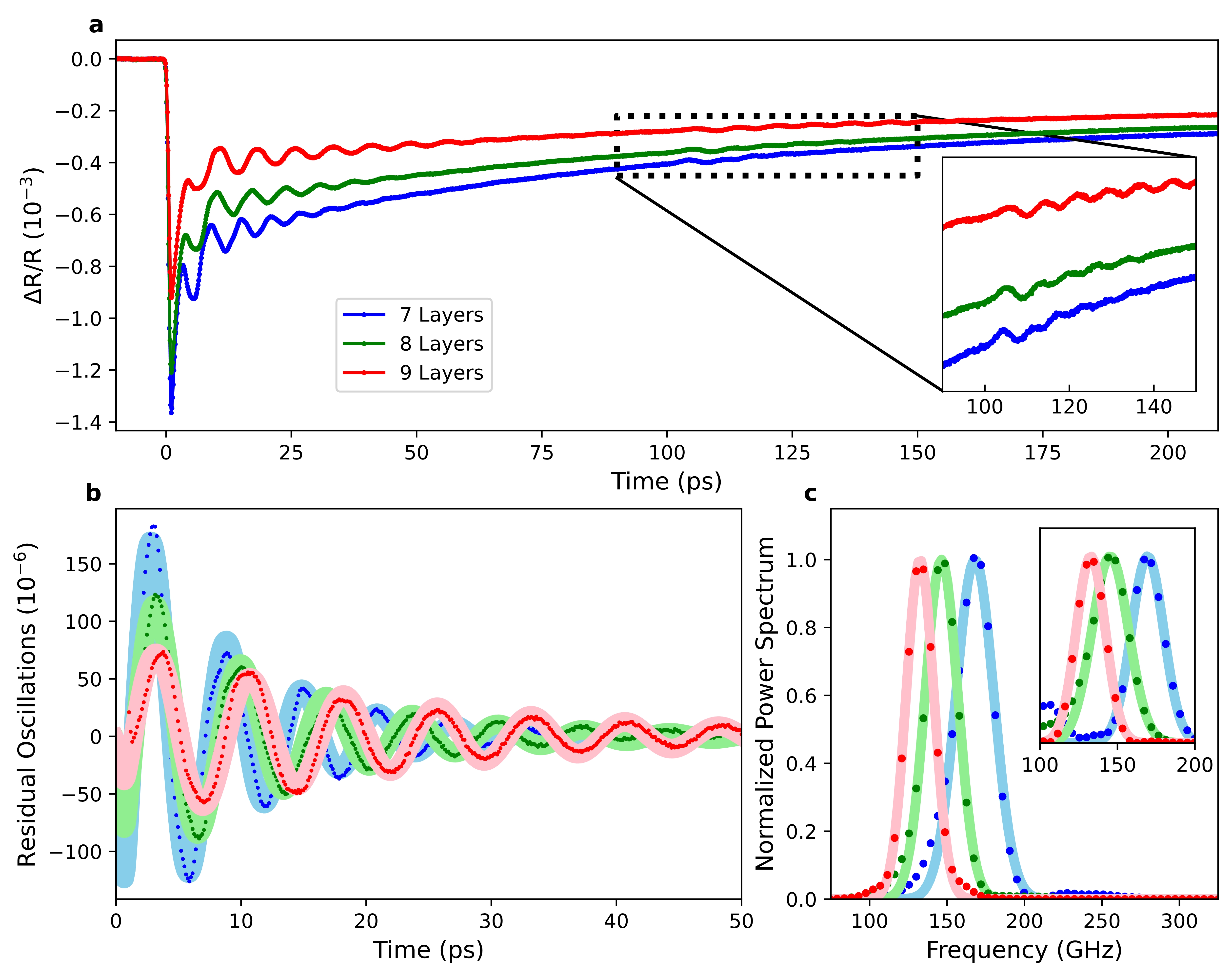
他们利用超快时间分辨的泵浦-探测反射率光谱结合超低波数拉曼光谱,首次系统研究了4到25层MnBi2Te4中载流子与相干声子随层数依赖的超快动力学行为。在瞬态反射率测量中观察到由于相干层间呼吸模式声子引起的反射率的显著振荡,并发现振荡频率及其衰减时间、载流子衰减率等物理特性都强烈依赖于样品厚度(图1)。实验发现此超快光学方法易于测量,且测得的声子频率在同一层厚的样品中特别一致,为表征样品厚度提供了一种方便、非接触和非破坏性的工具。较薄样品的衰减率增加表明表面与界面对声子散射和光载流子弛豫有很大影响。

图1. 不同层数MnBi2Te4材料的时间分辨反射率光谱测量数据。(a)三个不同层数区域的原始数据显示信号存在三个时间演化过程:非常短暂的尖峰、指数衰减和声子振荡。插图突出了在泵浦脉冲后约100 ps发生的振荡回波。(b)减去前两个分量可以更清晰地看到声子振荡,实线为指数衰减正弦曲线拟合。(c)快速傅立叶变换(FFT)后的数据,突显了不同厚度之间频率的显著变化,其中插图显示了约100 ps处回波的FFT,它们具有相同的层数依赖性。
超快时域测量结果还得到了超低波数(<10 cm-1)拉曼研究的补充(图2)。实验测得了非常强的层间呼吸模式,与超快测量结果相一致,表明光与此声子模式的强耦合。除了层间呼吸模式外,偏振拉曼测量还首次观察到更弱的层间剪切模式声子。测量的声子频率都显示出随着层数减少的典型蓝移,并且可以使用线性链模型进行拟合,从中计算出面外和面内层间力常数为(5.7 ± 0.1)∗1019 Nm−3和(2.9 ± 0.1)∗1019 Nm−3。通过这些力常数能够计算其他机械参数,例如声速、弹性常数和声阻抗。

图2.不同层数MnBi2Te4的超低波数偏振拉曼光谱。(a)在平行偏振配置中,数据包含 6 个与先前报道拉曼数据相匹配的层内声子振动的高频峰,以及一个与层间呼吸模式声子对应的低频峰,标记为 B(1)。瑞利散射背景已经被减去。(b)在交叉偏振配置中,呼吸模式消失了,观察到了对应于剪切模式的峰,标记为 S(1)。(c)将 B(1)与 S(1)峰的频率以及超快光谱数据(样品1和2分别为紫色和绿色菱形符号)绘制为厚度的函数。数据间具有良好的一致性,并且与线性链模型符合得很好。
这些测量不仅揭示了层间耦合强度,而且还提供了相干声子和载流子的寿命以及弛豫机制的重要信息。电学和磁学器件的性能会受到层间电子-声子相互作用影响,由于MnBi2Te4层间声子的能量很小 ( ~1 meV ),预计它们即使在低温下也会在层间电导中发挥重要作用。超快光谱测量还表明,表面和界面对相干声子和光致载流子的弛豫有很大影响,这也可能影响载流子迁移率。因此,此工作将为进一步的层间输运研究与范德瓦尔斯异质结的设计奠定基础。
同时近期的一项理论工作预测,强太赫兹光脉冲的非线性声子动力学可以控制MnBi2Te4中的拓扑和磁性相变。光脉冲引起晶格畸变,导致层间分离,使得层间反铁磁耦合变成铁磁耦合,进而发生拓扑相变。当太赫兹驱动脉冲与此工作中测到的层间呼吸模式声子频率共振时,这种效应可以达到最大。类似的方法已被用于实现 WTe2中的拓扑相变。因此,该研究还为未来在薄层拓扑磁性材料中的光驱动拓扑序与磁序,以及非平衡磁动力学和非平衡轴子动力学的超快研究铺平了道路。
该研究成果以“原子级薄层MnBi2Te4中的相干层间声子的超快动力学”(Ultrafast coherent interlayer phonon dynamics in atomically thin layers of MnBi2Te4) 为题发表在《量子材料》(npj Quantum Materials)上。
beat365中文官方网站物理系国际学生(加拿大多伦多大学2016级博士生)迈克尔·巴特拉姆(F. Michael Bartram)为此工作的第一作者,beat365中文官方网站物理系杨鲁懿副教授为论文的通讯作者。论文的合作者还包括beat365中文官方网站物理系2019级博士生刘良洋、2017级博士生彭惠宁、2016级博士生李昊,北京未来芯片技术高精尖创新中心研究助理王永超,中科院半导体所助理研究员林妙玲和2017级博士生冷宇辰、2018级博士生陈雪。该工作得到了国家重点研发计划、国家自然科学基金的支持。
论文链接:
https://doi.org/10.1038/s41535-022-00495-x
供稿:物理系
编辑:李华山
审核:吕婷